LLM RL Theory
- DAPO & GSPO 对于 GRPO 缺陷的优化
- JustRL 用最简单的配置实现RL的性能持续提升
- https://arxiv.org/pdf/2511.19942 Differential Smoothing
- https://arxiv.org/abs/2505.22617 RL 中的熵机制
- https://arxiv.org/pdf/2512.01374 MiniRL:训推一致性的RL
- https://arxiv.org/abs/2512.07783 分析预训练,中训练,RL对于LLM推理能力的影响,构建了一个尽可能消除知识重叠的训练数据集,使得我们可以更好地分析每个训练阶段对模型能力带来地影响
对于LLM的RL,统一的视角应该是优化一个reward的期望值,并且附加一些截断,KL等技巧
整个2025年期间,RL有两个重要的命题
- 训练和推理的一致性:尤其是对于Moe模型,因为现在更新模型的时候总是拆分minibatch,所以都有一定的off-policy。并且当推理框架和训练框架分离,使用不同的算子库的时候,存在精度等问题导致的不一致性
- 探索性和优化的平衡:如果简单地对奖励进行优化,会导致其探索性快速下降,模型陷入局部最优,不再提升性能,表现为模型的熵下降,以及模型的Pass@1的性能提升的同时,Pass@k的性能不再提升
很多的论文都围绕这个部分来展开
而随着LLM RL从数学逻辑领域转向了复杂的长程Agent任务领域,比如Coding,办公任务等等,2026年初开始,RL开始转向了异步和Online的RL训练,其核心在于
- asynchronous:等待推理完成再训练实在是太慢了,如何缓解必要的off-policy
- online:如何从用户和agent的交互中获得有效的监督信号,如何构建有效的reward
就目前LLM的RL的来看,对于算法的改进是最不重要的,任务环境和训练环境的infra+data是更重要的
1. Basic RL algorithm
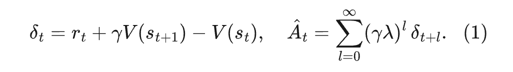
From Policy Gradient to PPO
这是早期RL算法的演变的过程,从最开始的Policy based Method + Value based Method 到后面的PPO的过程
PPO

importance ratio + Advantage 优化,当Advantage 大于 0 的时候,该优化目标会迫使importance ratio变大
PPO的advantage计算是通过reward model和value model共同完成的,Reward model计算即时奖励,Value model预估外来的奖励,随后通过GAE来计算token level advantage

随后依次更新Value model和policy model的梯度
GRPO

GRPO通过一个group里的优势计算,来绕过value model的设计,使得训练成本大幅度下降,通过计算该条回答的reward相比于这个group的平均reward的优势,来衡量advantage

DAPO
DAPO的方案对于GRPO的范式做了一系列的优化,增加了很多Tricks
- Clip Higher 原本的clip的上界过低,导致RL只会优化高概率高advantage的token,以至于其会迅速陷入局部最优,通过调高Clip的界限,可以有效帮助一些低概率高Advantage的token进行优化,有效提高模型的上限
- Dynamic Sampling 在训练中增加筛选,去掉全对和全错的样本
- Token-level Policy Gradient Loss 让一个mini-batch内部 repsonse token 的advantage权重相同
- Overlong Reward Shaping 增加response length的惩罚项数
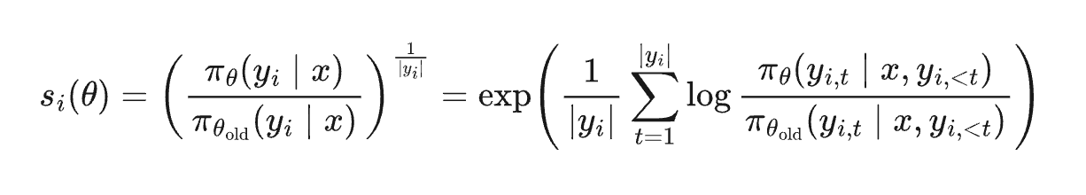
GSPO
GRPO虽然本身也是Sequence Level的IS,但是它的IS对于每个token做clip来进行连乘,实际上还是对于token level进行操作,而GSPO转向完整的Sequence Level,不用token-level的clip,而是用整个Sequence的内容做几何平均归一化(就是在token的log上除以一个序列长度),来防止IS爆炸问题

目标函数改为

VESPO
来自小米团队的论文,开始转向off-policy的RL训练,能够做到在64x staleness ratios上做到稳定的训练
面对现有Policy Gradient的公式,想要提升算法,我们就要对Importance Weight做改动,之前最重要的做Importance Weight做改动的算法是GSPO,最核心的观点是将Token-Level的Importance Sampling修改到Sequence-Level,这篇论文指出其存在一定的问题,Sequence Level的IS将token level的进行叠加,导致单个token很大的IS会影响到整个序列,并且在长序列中表现得更为严重
面对这个问题,GRPO等该用Token Clip进行裁剪(实际上就是token level更新,放弃了序列级的统计),GSPO采用归一化的方案(存在长度依赖的偏差)
VESPO带我们重新审视对于Weight Reshaping这个操作,原生的IS是将这条老数据对应的分布和当前模型的分布进行对比,当我们做了Weight Reshaping之后,就是将老数据的分布和某个其他的分布进行对比,我们从优化一个IS的方案转向优化一个分布,这个分布应该具有一些特点
- 靠近老数据的分布
- 靠近新模型的分布
- 控制方差
比较直观地,我们可以通过一个权重系数来处理它

另一方面,我们来看起如何做方差的控制,这是Sequence-Level的优化比较重要的方向。这就要套入之前的理论中,之前有很多理论来分析分布的方差
在重要性采样中,估计量的方差正比于二阶矩,二阶矩阵越大,相当于方差越高,有效的样本量就越少

最终VESPO的结果是这样子的,其中W是原始的重要性采样

2. Training-Rollout Consistency
在这个任务上,Slime应该是一个值得学习的项目
2.1. Multi-Turn Agent Training
token id 的解码编码问题
2.2. Precision Consistency
Nvidia在2月份出了一篇关于训推精度一致性的论文 Jet RL ,对于RL而言,目前来看效率上的block就在rollout上面,因此最直接的想法我们会将直接推理加速的方案应用在RL的rollout上面,比如low-bit量化和稀疏计算。这篇论文就是研究了FP8 Rollout的技术,但是先前的低精度的rollout会和后续BF16的训练形成不一致,形成Off-Policy。
这篇论文在Verl上构建一个Rollout和Train均为FP8的RL过程
这个过程有如下的难点
- RL过程中,参数在频繁地更新,传统的FP8量化方案,需要每次参数更新之后再次计算缩放系数(重新校准),造成额外开销
- 如果不进行校准,直接将参数截断为FP8,会导致训练的不稳定,尤其是面对长文本和困难任务中

反向传播的梯度保持BF16,其余内容全部转换成FP8。总结来看就是所有的算子都保持FP8,但是输出梯度的时候转换成BF16
3. Entropy
在LLM RL中,关于Entropy的思考是一个受人关注的话题,在早期对于math这个领域的RL,LLM总是展现出熵坍缩的现象,也即熵快速下降导致探索性能的下降。但是在后期的Agent RL的任务中,反而出现了一系列的熵增长的现象,也即LLM的探索性能反而在提升。

上图来自于UI-Tars 2的论文,包括一些deep research的agent rl中也有类似的现象
个人的一些想法,模型的entropy的变化主要来自于是否有外界的信息输入,在math等任务中,rl只有问题和答案,模型在自己的能力中逐渐探索收敛;而在agent的任务中,模型有大量的工具调用,不论是GUI Agent还是Deep Research Agent,有大量的信息注入到训练过程中,一定程度上就扩展了模型的探索性
Other Topics
这里介绍除了训推一致性和探索收敛以外的一些RL主题
1. Bottom-up Policy Optimization
这篇论文通过分析LLM内部残差流的熵变化,来分析LLM的推理过程,对于一些主流开源模型进行了分析,发现了Llama模型在大量的层里面都保持较高的熵,而在最后几层快速收敛,而Qwen的模型则大多保持一个比较平稳的熵下降流程。在今年的RL实验中发现了Llama系列模型在做RL的时候相当不稳定,需要大量SFT数据预热才可以正常进行RL,这篇论文为我们提供了一个新的视角

除了对于现在开源模型的研究以外,这篇论文还考虑能否对单个层的输出特性做优化,提出了一种新的优化方案,比如对于Qwen,我们可以固定后续收敛的层,仅对于前面几层进行优化,对于Llama,我们只固定最后几层,对其他部分进行优化,(这里只优化0-L层和最后的解嵌入矩阵)发现这种方案的RL可以作为预热,使得Qwen系列和Llama系列模型都有效涨点,并且维持Pass@k性能
本身在计算的过程中,使用第K层的输出logits来计算importance ratio,Reward还是来自于整个模型的输出,并且基于这个结果计算Loss,这个Loss自然依赖于前K层的梯度,因此在计算图中也就只会更新前K层,实现前K层单独的优化
关于RL对于模型内部层之间的影响,还有一篇Google的论文也分析了类似的现象,这篇论文 提出了Hierarchical RL的新方法,同样是研究了内部的残差流,其中涌现出来线性可控的时序抽象,然后得到了一些观察
- 中间层有最丰富的子目标信息
2. KL in RL
这篇论文提出了在RL训练中的KL应该采用K1估计器而不是现在常用的K3估计器,在RL中使用KL的原因是因为不希望模型偏离原本模型的分布太远,防止造成灾难性遗忘等问题。对于GRPO等算法,我们其实需要的是Sequence级别的KL计算,在实际操作中表现为将Token级别的KL进行累加

之前的实践是采用将K3估计纳入到Loss计算中,值得注意的是,我们往往将RL中的Reward算作Loss的一部分,但是实际上是存在区别的,比如如果我们将KL项放在Reward中的话,其被视为标量奖励的一部分,梯度来源于对于policy采样的求导;而如果将KL项放在Loss中(现在常用的方案),现代AutoGrad框架会计算路径导数,因此两者其实存在显著的差异

根据实验表现,将K1估计纳入到Reward中,比其他三种方式更接近无损的方案
