Diffusion RL Theory
1. Flow-GRPO
这是从DS-R1之后,影响力较大的第一篇将GRPO迁移到flow matching上的工作,同期有很多类似的工作,比如DanceGRPO
要将llm的rl范式迁移到flow matching,面对的最大问题就是flow matching的ode轨迹是确定的。我们知道GRPO实际是在优化重要性采样的那个比例,但是LLM的输出是整个token空间,而flow的ode输出的是具体的速度,也导致了其无法获得重要性采样的概率比,也就是无法优化,这个是首要需要解决的问题
重要性采样为
问题就在于,flow模型ode是一个狄拉克分布: \(p_\theta(x_{s}|x_{t},c),s<t\) ,因此要引入概率分布,就在特定的一步,将ode转换成sde,具体的方案如下

Flow GRPO实际的policy gradient实际上是使用advantage加权的噪声,我们可以通过梯度的推导发现这一点,这个推导在Diffusion NFT的论文中也有过程
更通俗的来说,Flow GRPO的过程是找到了一个更好的噪声,然后让速度场往这个噪声的方向进行移动,噪声本身是没有意义的,只是这个噪声隐含了更优的速度方向,因此这个行为是有效的,这里最后之所以是约等于,是因为假设了v old 和 v 是一样的,官方工作在flow grpo guard去掉了这一项,这样子就没有这个约等于,在数学上更严谨
在Flow GRPO后续出了一个系列工作,Flow GRPO Guard,里面也有这个梯度推导,结论就是,Flow GRPO在让速度场往一个噪声的方向移动,这个其实是有点奇怪的,因此LLM的预训练和后训练行为时一致的,但是Flow GRPO中,预训练是优化速度场,但是RL却变成了优化噪声,这个行为似乎是不够直接的
1.1 Flow GRPO CPS
- https://zhuanlan.zhihu.com/p/1948388095151026330
- https://arxiv.org/abs/2509.05952
这是在这篇文章里面提到的,关于Flow GRPO加噪的一个bug的问题,导致生成的图片带有明显的噪声。Flow GRPO的随机性注入并非是最优解,首先我们来看FlowGRPO里的噪声注入方案

相比于ODE的Flow,其增加了一个扰动项和一个修正项,然后我们可以分解ODE的Flow和SDE的Flow

但是分析上图中的Flow-SDE的过程,我们发现,Flow-SDE的每一步的噪声项的系数,比理想的DDIM过程要高得多,尤其是当t很小的时候

针对这个问题,解决方案也很简单,只要让噪声项的系数能够保持一致就行了,也就是减去的幅度和新加入的幅度相符合,也就是这篇论文的主题 Coefficients-Preserving Sample 系数保持采样
我们进一步思考,为什么Flow SDE会存在这样的问题,实际是在Flow GRPO在推导的过程中,直接套用了Score Match那套的内容,但是实际上在Score Matching中,这个推导过程不是恒等的,而是基于 \(\Delta t \rightarrow 0\) 这个假设,这个假设在当时DDPM的1000步左右的采样过程中,确实是可以容许的,但是现在的采样模型,往往都是几步完成采样,这个推导就不再能够成立

2.2. TempFlow GRPO
对于Flow GRPO里的优化进行时间加权

2. AWM
这篇论文正是发现了上述Flow GRPO的不一致问题,本质上来说,模型应该学习的是好的速度而不是好的噪声,学习速度比学习噪声更高效
- RL优化的是Reverse一步转换的高斯分布的对数似然
- 预训练优化的是score/flow match loss
以Flow GRPO为代表的方案,将带噪数据推断训练目标,会将这个不确定性直接传到梯度目标里
而AWM提出了一种策略梯度一致的做法,损失函数依然是Flow matching那一套,只是做了一个加权,用奖励做一个加权,其v gt是将其采样到x0的时候,将x0再加上一点噪声来的,但是如何判断这个速度值不值得学习,就是依赖reward,高advantage的时候,这个gt的速度值得学习,但是在低advantage的时候,这个gt的速度就作为负面样本

实际优化的时候还要加上PPO Clip
3. Diffusion NFT
Diffusion NFT 在附录中解释了 Flow GRPO 实际的优化方向,就是advantage-weighted noise,相比于AWM,NFT的做法是off-policy的
这篇工作中重新思考了将RL应用到Flow中的范式,单纯讲GRPO这种范式应用到Flow Model中的学习在理论上并非最优,能够达到几十倍的收敛加速

对于GRPO和PPO这种基于Policy Gradient的算法来说,有一个共性的要求就是其模型的likelihoods必须是可以计算的,这个过程在自回归模型中成立,但是在diffusion models中并不直接,因为现在的Diffusion过程本质是一种连续过程,你要计算似然就必须计算积分,但是这个现阶段是计算不出来的,只能考虑近似
如果想要计算的话,只有两种方案
- 求解概率 ODE(计算成本很高)
- 通过 SDE 的变分下界(本身就是近似值,不精确)
先有的工作使用离散化的逆向过程,离散化之后每一步可以用高斯分布去建模,增加了高斯分布这个约束之后就可以进行精确的似然计算了,例如FlowGRPO

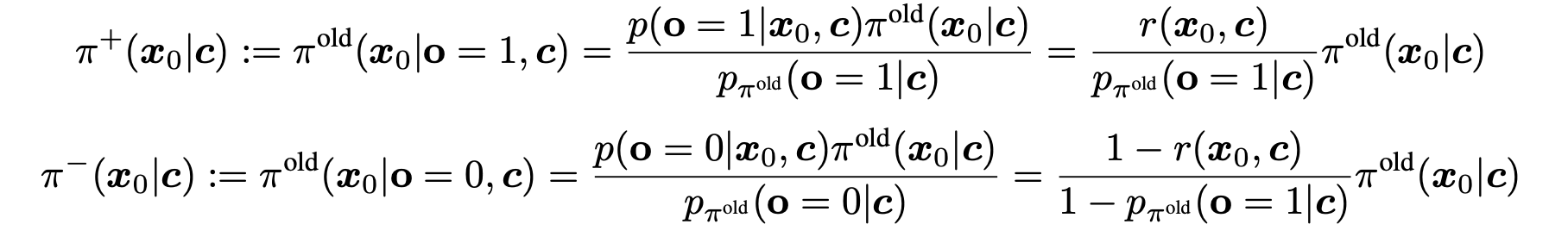
Diffusion NFT 定义了如下过程,一个模型对于一个prompt集合,每个prompt会采样出k个结果,然后用reward model/function给这k个结果打分为r,我们会将reward归一化到0-1之间,这样子可以靠reward之间的对比隐式地构建advantage
然后就是比较精妙的一部分,Diffusion NFT要对生成的结果进行好样本和坏样本二元分组,那么如何进行分组呢,我们设定一个结果会有r的概率进行好样本组,有1-r的概率进行坏样本组,这时候的两个样本组可以构建为这样子的分布

上述分布隐含着一定的优劣关系,也即 \(\pi^+>\pi^{old}>\pi^-\) 如果我们直接使用 \(\pi^+\) 来微调,我们就实际上完成了之前的Diffusion领域的RFT(拒绝采样微调),但是作为一个RL范式,自然是也要用上负样本

在实际的操作中,我们进行采样,采样完成之后打分,打分完成之后进行加噪,从加噪图像进行预测,加噪图像到之前的真实图像,即为真实速度;预测出来的即为old policy的速度
实际上的损失函数设计为,可以理论推导得到,最优的改进方向是正负样本的速度差异

其Loss地梯度推导如上
Diffusion NFT 可以用任意黑盒的Solver进行训练,且CFG无关