Large scale book
这是 huggingface 中找到的一个关于LLM训练的一本很好的系统指南,主要关于底层的存储和LLM system,并且有很好的可视化
https://huggingface.co/spaces/nanotron/ultrascale-playbook?section=high-level_overview 这是链接
LLM的训练基本从早期的Zero123开始,完成fsdp,随后转向3D并行,TP,PP,DP,之上再演变出CP和EP等更新的范式
但是随着显卡的内存和通信能力水涨船高,以及低精度训练等方案的普及,TP和PP甚至都存在被解决的趋势
另外和这本书类似的,有一半google内部的,基于Jax的scale book
- https://jax-ml.github.io/scaling-book/inference/
1. 单GPU训练
一次正常的模型训练,包括以下流程
- 一次前向传播,计算Loss
- 一次反向传播,计算梯度
- 基于梯度进行参数更新

这时候我们涉及到了第一个超参数 Batch size,也是我们前向计算Loss的时候的数据批次大小,根据实验表明,小批次的学习效率更高,但是大批次的数据噪声更小
我们来定义第一个参数 \(bst = bs * sequence\ size\) 这是指一个batch size中的token数量
接下来我们来分析在训练的过程中的内存,占据我们的内存的内容物主要是各种各样的张量,一个张量的存储由两个因素决定
- 形状:形状由各种超参决定,比如 batch size, sequence length, attention head number
- 精度:FP8, FP32
从内存的含义上划分,可以分为下图中的各类内容

Weights / Gradients / Optimizer states
先从前三个内存占用开始
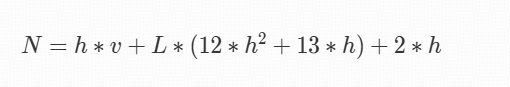
关于transformer LLM,其参数数量可以由以下公式给出

其中h是hidden states, v是词表大小,L是模型层数,而在全精度FP32的训练中,参数和梯度都是4字节,而Adam优化器要额外存储动量和方差

在如今更常见的混合精度训练中,用BF16来存储参数和梯度,也就是从4个字节降低为2个字节,但Adam的优化器状态为了稳定还是要保持全精度,除此之外还要保存一份全精度的参数副本

Activation Memory
接下来我们分析激活值所占的内存,这篇文章 很好地讲述了激活内存地含义,在混合精度地情形下,激活值所占地内存总量为

L表示层数,seq表示序列长度,bs表示batchsize,h表示hidden states,\(n_{heads}\) 表示注意力头数量

由上图和上述公式可以看出,激活值所占地内存随着序列长度二次增长,面对这个难题,我们引入一个重要地Tricks
Activation recomputation
这项技术称为激活值重计算,就是在前向过程中丢弃一些激活值,在反向传播是花费一些时间将需要计算地激活值重新算一遍

当然还有一个trade-off是我们需要保存对应层地检查点,计算表明,如果我们丢弃所有地激活值,也就相当于在反向地时候重新做一遍前向,会增加30-40%的计算量
因此我们往往会有选择地进行激活值丢弃,研究表明,Attention操作的激活值增长很快,但是其前向的成本很低
现在最为常用的FlashAttention也很巧妙地将激活值重计算纳入框架中
Gradient Accumulation
对于激活值另一个大头的影响因素是Batch size,我们会采用Gradient Accumulation这个设计来尝试解决这个问题
梯度累积包括将一批次数据分成多个minibatch,然后根据每个minibatch进行前向和后方,计算梯度,在优化之前将所有minibatch的梯度相加

我们用mbs表示minibatch,用gbs表示全局的batch size,将gbs拆成minibatch,使得我们可以顺序处理minibatch来减少激活内存,但是也存在tradeoff也就是我们要多做几次前向反向
值得注意的是minibatch的梯度计算其实可以并行的,因此我们的多GPU也就有了用武之地
2. Data Parallelism
DP的理念就是在多个GPU上复制模型,对于这些模型的复制版本,可以进行MiniBatch的更新,其实和刚才的梯度累积的方案是一样的
因为我们对每个GPU进行梯度计算,得到的不同梯度我们需要进行同步,我们会使用all-reduce的分布式操作来对模型实例的梯度进行平均,随后再进行优化

一个简单的DP流程如上,但是上述流程仍然不是最终形态,因为此时GPU在通信过程中是空闲状态
方案一:重叠梯度计算和通信,因为我们没有必要等待整个模型的梯度计算完成再进行all-reduce,完全可以在一边计算梯度,一边更新
1 2 3 4 | |

方案二:bucket梯度求和,因为GPU更适合对大张量做操作,而不是对多个小张量做操作,对于通信也是一样的,因此我们也可以让梯度按bucket进行all reduce

在Pytorch中,往往在不需要All-reduce的backward操作中加上 model.no_sync() 装饰器
DP效果很好,但是在GPU数量达到上百上千的时候,其协调开销会显著增加,并且网络开销会很大,导致其逐渐变得低效
并且DP能够成立的前提,也是至少一个前向过程能够塞入单个GPU内,这对于超大模型来说是无法做到的

3. Deepspeed Zero
DeepSpeed内部的zero机制,是一种旨在减少LLM训练中内存冗余的优化技术
DP中对于优化器状态,梯度以及参数的简单复制带来的冗余(激活值是每个DP副本不同的,因此不算在冗余之内,我们只能通过减小batch size来减小激活值),正是我们想要优化的目标
- Zero1 优化器状态分区
- Zero2 优化器状态+梯度分区
- Zero3 优化器状态+梯度+参数分区

Zero的设计理念在于把所有复制的数据都分片,只有在必要的时候才聚合起来使用
Zero1
在Zero1中,优化器状态被分为N份,每个GPU上都只维护1/N份优化器状态,更新的时候只优化对应的FP32权重,而在部分更新完成之后,通过一个all-gather操作,将各个GPU上的参数都更新到最新状态

zero1的过程如上,在梯度规约的时候,不再做All Reduce,而是做Reduce Scatter,只在每个GPU上计算属于自己的那份累积梯度,而在最后权重更新的时候,每个GPU只更新自己需要更新的权重,然后把自己更新好的权重同步给其他GPU
并且经过计算,整个Zero1过程的通信和传统DP完全一致,可以算得上是Free lunch

Zero2
这是Zero2的示意图,Zero2进行的是梯度分片,本身在更新的时候,我们在每个副本上就只需要该优化器状态分片对应的梯度分片

Zero2的通信压力和DP也是等价的
Zero3
DeepSpeed 中的Zero3和Pytorch中的FSDP是等价的,它将对于梯度和优化器状态的操作复刻到了参数上,我们在需要参数的时候就收集它,因为我们会将一层参数拆分到不同地方,因此进行Zero3的时候需要经常gather

很显然的,Zero3相比于Zero12,增加了相当一笔通信开销,这个开销和模型的层数正相关

4. Tensor Parallelism
Zero123 + DP 效果非常理想,但是其无法对于Activation进行分片,因为激活值的计算是和数据相关的,因此不存在重复,也没有消除冗余的空间可言

在开启Zero3的情况下,我们仍然会因为激活值的原因,达到单个硬件的内存上限
Zero123本质上还是数据并行,虽然对于每一层进行了分片,但是计算的时候还是会聚集到同一个GPU重组进行计算,此时算出来的,还是完整的一层的激活值
这个时候就是要提出我们的TP了,张量并行,张量并行的原理来自于矩阵乘法的性质,因为LLM计算中大部分操作均为矩阵乘法,对于矩阵,我们的操作主要是对于矩阵列和行进行独立的操作,因此如果对于行和列进行分割,就可以顺利完成矩阵乘法

比如列分割 column-wise

[!code]- ColumnParallelLinear 实现详情
1 2 3 4 5 6 7 8 9 10 11 12 13 14 15 16 17 18 19 20 21 22 23 24 25 26 27 28 29 30 31 32 33 34 35 36 37 38 39 40 41 42 43 44 45 46 47 48 49 50 51 52 53 54 55 56 57 58 59 60 61 62 63 64 65 66 67 68 69 70class ColumnParallelLinear(torch.nn.Module): """Column Parallel Linear layer Y = XW + b, where weight matrix W is parallelized along its second dimension. W = [W_1, ..., W_p] This module returns the results of Y_i = XW_i + b_i in the forward method, Y_i is parallelized in the second dimension. Arguments: in_features: first dimension of weight matrix W. out_features: second dimension of weight matrix W. bias: If true, add bias init_method: method to initialize weights gather_output: If true, gather the output from all the partitions. This is used for the last linear layer """ def __init__( self, in_features: int, out_features: int, bias: bool = False, gather_output: bool = False, async_all_reduce: bool = False, ) -> None: super(ColumnParallelLinear, self).__init__() self.tp_world_size = pgm.process_group_manager.tp_world_size self.tp_rank = pgm.process_group_manager.tp_rank self.in_features = in_features self.out_features = out_features assert out_features % self.tp_world_size == 0, "Hidden dimension must be divisible by the tensor parallel world size" self.output_size_per_partition = out_features // self.tp_world_size self.gather_output = gather_output self.async_all_reduce = async_all_reduce # Allocate space for the weight and bias # Note: torch.nn.functional.linear performs XW^T + b so we exchange the order of dimensions self.weight = nn.Parameter(torch.Tensor(self.output_size_per_partition, self.in_features)) # W_i if bias: self.bias = nn.Parameter(torch.Tensor(self.output_size_per_partition)) with torch.no_grad(): self.bias.zero_() else: self.register_parameter("bias", None) self.reset_parameters() def reset_parameters(self): # Initialize weight tensor with the default initialization method used for nn.Linear in PyTorch master_weight = torch.empty( self.out_features, self.in_features, dtype=self.weight.dtype, device=self.weight.device, requires_grad=False ) # Calculate bound based on master weight's input dimension k = 1 / master_weight.size(1) bound = math.sqrt(k) torch.nn.init.uniform_(master_weight, -bound, bound) # Split the model into size of self.output_size_per_partition weight_list = torch.split(master_weight, self.output_size_per_partition, dim=0) self.weight.data = weight_list[self.tp_rank].contiguous() def forward(self, x: torch.Tensor) -> torch.Tensor: if self.async_all_reduce: output = linear_with_async_all_reduce(x, self.weight, self.bias) else: output = linear_with_all_reduce(x, self.weight, self.bias) if self.gather_output: output = GatherFromModelParallelRegion.apply(output) return output
以下还有行级的张量并行的示意图

4.1. Transformer 中的 TP
最自然的方案就是同时进行行分割和列分割,处理Transformer中的FFN的时候我们就这么做

对于另一部分,就是多头注意力机制这一部分

我们可以按照注意力头进行划分,列并行和这个方案是完全的匹配的,这也是因为Attention计算中,每个head之间是独立的,类似的,对于FFN计算中
因此TP的并行往往不能超过Attention head数量,在实际环境中我们往往会使用PD分离,Prefill这一块往往会用到大量的TP来榨干算力,而Decoder这一块往往以使用Pipeline Parallelism和少量TP
4.2. Sequence Parallelism
TP是存在Trade Off的,因为其引入了通信开销,并且没有像ZeRO那样将其与计算冲得

而Sequnce Parallelism和TP是适配存在的,其用于应对TP中的例如DropOut和Layer Norm的部分
Appendix: code practice
1. Show GPT2 Architecture
1 2 3 4 5 6 7 8 | |
得到的结果如下
1 2 3 4 5 6 7 8 9 10 11 12 13 14 15 16 17 18 19 20 21 22 23 24 25 | |
2. Memory Compute
我们可以通过checkpoint这个机制,来实现激活值重计算
这个在小模型中很难体现这一点
3. Gradient Accumulation
1 2 3 4 5 6 7 8 9 10 11 12 13 14 15 16 17 18 19 20 21 22 23 24 25 26 27 28 29 30 | |
上述是一个梯度累积的模拟,我们在一个循环中只计算梯度,而不更新,在循环结束之后累积梯度再更新
真正实践中,该方案内化成了如下的参数
1 2 3 4 5 6 7 8 | |